For offline reading, technical documentation (in Croatian) is available here.

This game (Wumpus) [1] takes place in a world with specific rules that an agent (computer) must know and use in order to survive his journey through the game. Users of this game place themselves in the role of an "logical agent", that is, they watch the "logical agent" as he progresses through the world. Now, lets say something about the world that our agent is in.

 

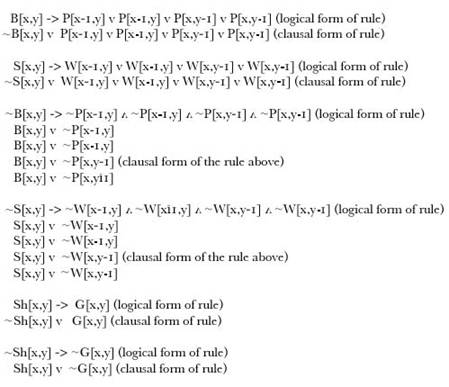
The world is actually a big cave and is divided into fields. Each field can contain a pit, a wumpus, gold or can be empty. When an agent steps into a field he can sense certain things, breeze, smell, shine, or combinations of the given three senses. The logical agent has limited knowledge of the world he is in, that is he has only perceptions (senses) for each field he entered. Based on those facts and previously gathered knowledge he makes conclusions about the world, using proposition logic and resolution rule [3]. The world can be described with some rules that can be written using proposition logic rules. General rules state:

 

The rules on the left can be interpreted as follows: if there is a breeze in field [x,y] that means that there is an pit in the fields that surround it (diagonal fields are excluded). The same applies for the sense of smell, only that means that there is an wumpus in the surrounding fields. If there is no smell in an field that mean that surrounding fields don't have an pit in them. The same applies for the lack of smell and presence of an wumpus. Lets now clarify what does an pit or an wumpus mean for an agent. If an agent enters an field that has an pit or an wumpus he DIES.

 

 

 

  1. Create Game Button

 

Creates a new game based on the selected parameters (size, agent’s properties)

 

  2. World Size Sliders

 

Users can select the world size (width and height can be set from 3 to 10)

 

  3. Selected Agent For Adjusting Properties

 

Select the agent you want to adjust properties for

 

 

  4. Agent Properties Display

 

Agents properties (each agent is represented by one of the 4 colors: red, blue, green and yellow). Active agent is represented by an empty box, if risking is selected there is a letter r inside the box and if agents is inactive there is an letter x in his box

 

  5. Agent’s Properties (Active/Risking)

 

Set selected agent’s properties (is he active, and if he is does he take risks). Agent that takes risks, and is in risking mode has a special graphical representation as will be shown below.

 

  6. Agent’s Properties (Skill)

 

Set selected agent’s thieving skill (skill to stela other agent’s knowledge base when they find themselves in the same field)

 

  7. World Preview Display

 

Display of the world where you can see placement of pits, wumpus and gold (which dissapeares when an agent takes it)

 

  8. Select Agent Buttons

 

Clicking these buttons selects the active agent, and you then see his view of the world and his knowledge base and info

 

  9. Agent’s World View Display

 

Selected agent’s view of the world with all his discoveries and queries (each field has its state – is it visited, OK, does it have a pit or a wumpus in it or agent isn’t sure is there a pit or a wumpus in that field)

 

10. AutoPlay Property and Positions Property

 

If AutoPlay property is selected when you click on Start Game button (see below) game is automatically played, with no pause between agent’s moves. If Positions property is selected then you can see positions of the other agents in the Agent's World View Display (not just the active agent, though you see only selected agent's knowledge base and reasoning), if it isn't set then you see only the selected agent in the Agent's World View Display

 

11. Start Game/Next Step Button

 

Depending on AutoPlay property state this button is either Start Game (is the property is set) or Next Step. Next Step button means that the game is in StepByStep mode where game is paused after agent’s make their move and selected agents informations about the move are displayed (not displayed when in AutoPlay mode)

 

12. Abort Game Button

 

Aborts game when in StepByStep mode, game is reinitialized

 

13. Selected Agent’s Knowledge Base Display

 

Display’s selected agent’s knowledge base

 

 

14. Selected Agent’s Conclusions And Info     Display

 

Display’s selected agent’s current senses, relevant rules of the world, conclusions, queries and action agent is going to make in the next step

 

15. World Rules Display

 

Display’s rules of the world which are same for all agents

 

 

 

 

Agent

 

Agent that has gold

 

Agent in risking mode

 

Agent that died

 

Wumpus

 

Pit

 

Gold

 

Visited field

 

OK field that hasn’t been visited yet

 

Breeze

 

Smell

 

Is there a pit in this field?

 

Is there a wumpus in this field?

There is a pit in this field, but is there a wumpus?

There is a wumpus in this field, but is there a pit?

Is there a wumpus AND is there a pit in this field?

 

 

 

Literature:

[1] Russell, S. J.; Norvig, P. (1995).  Artificial Intelligence,
A Modern Approach
, Prentice Hall, New Jersey.

 

[2] Dalbelo Bašiæ, B. (2001). Lecture notes,

 http://www.zemris.fer.hr/education/is/

 

[3] Robinson, J.A. (1965). A machine-oriented logic based on the resolution principle, Journal of the ACM, 12(1), 23-4.